新冠特效药市场空间庞大,辉瑞口服药遥遥领先将占据主流份额:谈到治疗新冠,人们第一反应会想到接种疫苗。然而,疫苗必须事先接种,而对于已经确诊新冠病毒的患者而言,最为有效的治疗手段是新冠特效药。新冠特效药从功能机理上分为核苷酸类似物和蛋白酶抑制剂两大类。近期上市的新冠特效药包括辉瑞 Paxlovid、默沙东 molnupiravir、罗氏 AT-527、开拓药业普克鲁胺。排除实验结果未被证明显著性有效的罗氏 AT-527、开拓药业普克鲁胺两款药物以外,剩余有效的药物中,默沙东药物 molnupiravir属于核苷酸类似物、辉瑞药物属于蛋白酶抑制剂。根据最新实验结果,辉瑞 Paxlovid实现 89%重症治疗率
[(0.8% VS 7%),治疗组(n=389)中 3例住院,无死亡病例。安慰剂组(n=385)中 27例住院,7例死亡],而默沙东 molnupiravir药物仅实现 30%重症治疗率。因此,辉瑞的新冠特效药在其中地位遥遥领先,预计将在全球新冠特效药市场上占据碾压性的份额。
辉瑞口服特效药的原理为通过核心片段抑制病毒的复制:新冠病毒的作用机理是,通过 3CL 蛋白酶实现对病毒基因序列的复制,其中抑制剂3CL 蛋白酶可以为新冠病毒的“复制工厂”或“解压缩软件”。辉瑞特效药 Paxlovid 是 3CL 蛋白酶抑制剂 PF-07321332 与低剂量利托那韦(Ritonavir)的复方制剂,其中利托那韦有助于减缓 PF-07321332的代谢或分解,使其在体内有效浓度维持较长时间,而其抗病毒活性,起次要功能;PF-07321332属于蛋白酶抑制剂,在辉瑞特效药中起到抑制病毒复制的核心功能。其作用原理是和 3CL 蛋白酶内的众多氨基酸(被称为“活性位点”)点对点结合,从而做到用多个“触手”绑住新冠病毒的“解压缩软件”——3CL蛋白酶。从而实现—通过抑制病毒的蛋白酶活性,来阻断病毒在人体内的复制(病毒没有办法复制,最终就会被人体的免疫系统消灭,并且无法扩散出去感染其它细胞)。由于新冠病毒蛋白酶序列与 SARS病毒存在高度近似,辉瑞特效药的研发源自辉瑞在 2002年 SARS时期研发的药物 PF-00835231,再经改良制成 PF-07321332。

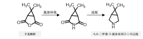
辉瑞特效药 PF-07321332结构中,起到蛋白酶抑制剂核心功能的是“氮杂双环”片段:该片段不仅作用关键,而且合成难度大。PF-07321332由数个片段组成,包括三氟乙酰胺、氰基、6,6-二甲基-3-氮杂双环[3.1.0]己烷(简称“氮杂双环”或“54-9”,以下简称“氮杂双环”)等。其中,氮杂双环上具有多个氨基酸的结合位点,是起到抑制病毒复制功能的核心片段。氮杂双环生产的难度体现在:传统工艺成本高、收率低、易爆炸。采用传统工艺生产氮杂双环,如果是几百公斤小批量生产是可行的,但要工业化放大——满足全球新冠患者治疗数百吨一年起步的供应量,难度极大。因此,量产氮杂双环的核心不在于是否具备生产能力,而在于能否对其工艺路线进行优化,使其能适应工业化批量经济性生产。

“氮杂双环”全产业链工业化难度大,具体来说,氮杂双环由原材料卡龙酸酐经过氮杂环化、还原共两步工序制成。生产氮杂双环的核心难点主要包括两块:1)从卡龙酸酐到氮杂双环一共需要两个步骤,其中第二步还原步骤为核心难点。传统工艺所采用还原剂为四氢锂铝,价格高昂(市场价格超过 200万/吨)且容易爆炸。若要实现低成本、高安全性工业化产出氮杂双环,需要在此步骤进行优化;2)氮杂双环的原料——卡龙酸酐生产路线包括四种,市面上多数生产企业采用异戊烯醇路线(有专利考证),该路线收率低、成本高。若要经济性生产卡龙酸酐,需采用其它路线。

目前辉瑞新冠特效药产业链集中在我国,据了解,凯莱英是辉瑞上游 CDMO环节的主要供应商。根据公开信息,华软科技目前不仅成为凯莱英最大的中间体供应商,并且是市面上唯一同时具备卡龙酸酐、氮杂双环全产业链合成能力的医药中间体厂商。而且,其卡龙酸酐生产路线采用的是收率更高、成本极具竞争力的独特的工艺路线,已于2021年底获得合成工艺突破。华软科技核心子公司奥得赛化学已经为巴斯夫、联合利华、诺华、日本帝国制药等全球一线终端知名厂商合成定制化中间体超过 25年,在高难度化合物合成领域积累了丰富的实战经验。我们判断,在新冠特效药产业链中,华软科技有望成为受益最大的医药中间体厂商。